Organoidomics
Please contact Prof. Semin Lee, Jinho Jang or Web-master for any inquires.
3D Organoids
3D OrganoidsRAMP
RAMPClinical Information
| ID | Diagnosis | Stage | Age | BMI | Sex | CA19-9 |
| P6 | PDAC | 4 | 62 | 20.7 | Female | 115048 |
Mutation Profiles
Primary Tumor
| ID | Gene | CHROM | POS | REF | ALT | Consequence | HGVSc | HGVSp | VAF |
| P6-Tissue | ATAD3B | 1 | 1431060 | T | C | Missense_Mutation | ENST00000308647.7:c.1810T>C | ENSP00000311766.7:p.Tyr604His | 0.23333333 |
| P6-Tissue | MEGF6 | 1 | 3422096 | G | A | Missense_Mutation | ENST00000356575.4:c.1943C>T | ENSP00000348982.4:p.Pro648Leu | 0.32900432 |
| P6-Tissue | PRAMEF1 | 1 | 12855774 | A | G | Missense_Mutation | ENST00000400814.3:c.319A>G | ENSP00000383616.3:p.Lys352Glu | 0.14954955 |
| P6-Tissue | C1QB | 1 | 22987700 | GT | AC | Missense_Mutation | ENST00000509305.1:c.577_578inv | ENSP00000423689.1:p.Val195Thr | 0.06140350 |
| P6-Tissue | HYI | 1 | 43917177 | G | A | Missense_Mutation | ENST00000583037.1:c.445C>T | ENSP00000461969.1:p.Pro222Ser | 0.03174603 |
| P6-Tissue | SYPL2 | 1 | 110019476 | C | A | Missense_Mutation | ENST00000401021.3:c.333C>A | ENSP00000383805.3:p.Phe111Leu | 0.40828402 |
| P6-Tissue | LRIF1 | 1 | 111493982 | C | A | Missense_Mutation | ENST00000369763.4:c.1524G>T | ENSP00000358778.4:p.Glu508Asp | 0.28571428 |
| P6-Tissue | NBPF20 | 1 | 148343792 | C | A | Missense_Mutation | ENST00000414710.2:c.295G>T | ENSP00000389520.2:p.Val99Phe | 0.15730337 |
| P6-Tissue | CRP | 1 | 159683629 | C | T | Missense_Mutation | ENST00000255030.5:c.361G>A | ENSP00000255030.5:p.Ala121Thr | 0.20149253 |
| P6-Tissue | DISP1 | 1 | 223116620 | C | T | Missense_Mutation | ENST00000360254.2:c.455C>T | ENSP00000355848.1:p.Pro152Leu | 0.27049180 |
| P6-Tissue | OR2T33 | 1 | 248436809 | G | A | Missense_Mutation | ENST00000318021.2:c.308C>T | ENSP00000324687.2:p.Pro103Leu | 0.10905730 |
| P6-Tissue | DNMT3A | 2 | 25469175 | T | A | Missense_Mutation | ENST00000402667.1:c.614A>T | ENSP00000384237.1:p.Glu205Val | 0.22543352 |
| P6-Tissue | CRIM1 | 2 | 36726432 | C | A | Missense_Mutation | ENST00000280527.2:c.1443C>A | ENSP00000280527.2:p.Asp481Glu | 0.20737327 |
| P6-Tissue | SRBD1 | 2 | 45647006 | C | T | Missense_Mutation | ENST00000535761.1:c.634G>A | ENSP00000441272.1:p.Ala212Thr | 0.00826446 |
| P6-Tissue | LIMS1 | 2 | 109276221 | G | T | Splice_Site | ENST00000544547.1:c.192+1G>T | 0.28695652 | |
| P6-Tissue | ANAPC1 | 2 | 112614429 | G | A | Nonsense_Mutation | ENST00000341068.3:c.1393C>T | ENSP00000339109.3:p.Gln465Ter | 0.17081850 |
| P6-Tissue | CYP27C1 | 2 | 127957056 | T | A | Missense_Mutation | ENST00000409327.1:c.448A>T | ENSP00000387198.1:p.Arg150Trp | 0.21428571 |
| P6-Tissue | LRP1B | 2 | 141215143 | T | A | Nonsense_Mutation | ENST00000389484.3:c.9703A>T | ENSP00000374135.3:p.Lys3235Ter | 0.26267281 |
| P6-Tissue | SLC38A11 | 2 | 165765214 | AC | GT | Missense_Mutation | ENST00000409662.1:c.862_863inv | ENSP00000386774.1:p.Val288Thr | 0.03389830 |
| P6-Tissue | PIKFYVE | 2 | 209212650 | CCA | TGG | Missense_Mutation | ENST00000264380.4:c.5277_5279inv | ENSP00000264380.4:p.Gln1760Gly | 0.00869565 |
| P6-Tissue | OXSM | 3 | 25833153 | T | G | Missense_Mutation | ENST00000420173.2:c.642T>G | ENSP00000411303.2:p.His214Gln | 0.01369863 |
| P6-Tissue | PROS1 | 3 | 93646128 | T | G | Missense_Mutation | ENST00000394236.3:c.200A>C | ENSP00000377783.3:p.Glu67Ala | 0.07 |
| P6-Tissue | OR5H14 | 3 | 97868683 | G | C | Missense_Mutation | ENST00000437310.1:c.454G>C | ENSP00000401706.1:p.Gly152Arg | 0.14669926 |
| P6-Tissue | KPNA1 | 3 | 122145899 | A | G | Missense_Mutation | ENST00000344337.6:c.1550T>C | ENSP00000343701.6:p.Val517Ala | 0.23394495 |
| P6-Tissue | C3orf70 | 3 | 184870580 | C | A | Missense_Mutation | ENST00000335012.2:c.32G>T | ENSP00000334974.2:p.Arg11Leu | 0.18932038 |
| P6-Tissue | HELQ | 4 | 84362556 | CC | GG | Splice_Site | ENST00000510985.1:c.1363-1_1363inv | 0.01851851 | |
| P6-Tissue | DCHS2 | 4 | 155237005 | C | A | Missense_Mutation | ENST00000357232.4:c.3790G>T | ENSP00000349768.3:p.Asp1264Tyr | 0.0625 |
| P6-Tissue | DCHS2 | 4 | 155254556 | C | T | Missense_Mutation | ENST00000357232.4:c.1307G>A | ENSP00000349768.3:p.Arg436Gln | 0.03433476 |
| P6-Tissue | FSTL5 | 4 | 162421217 | C | T | Missense_Mutation | ENST00000536695.1:c.1406G>A | ENSP00000440409.1:p.Cys469Tyr | 0.26506024 |
| P6-Tissue | ZDHHC11 | 5 | 843816 | GA | TC | Missense_Mutation | ENST00000424784.2:c.526_527inv | ENSP00000397719.2:p.Ser176Glu | 0.008 |
| P6-Tissue | CCNO | 5 | 54527501 | G | A | Missense_Mutation | ENST00000282572.4:c.755C>T | ENSP00000282572.4:p.Ala252Val | 0.29268292 |
| P6-Tissue | HOMER1 | 5 | 78752778 | GTTC | G | In_Frame_Del | ENST00000508576.1:c.66_68del | ENSP00000426651.1:p.Lys22del | 0.22077922 |
| P6-Tissue | APC | 5 | 112174319 | A | T | Missense_Mutation | ENST00000508376.2:c.3028A>T | ENSP00000427089.2:p.Ser1010Cys | 0.01415094 |
| P6-Tissue | AP3S1 | 5 | 115249078 | C | T | Missense_Mutation | ENST00000316788.7:c.473C>T | ENSP00000325369.7:p.Pro158Leu | 0.28823529 |
| P6-Tissue | FCHSD1 | 5 | 141029021 | G | A | Nonsense_Mutation | ENST00000522783.1:c.310C>T | ENSP00000428677.1:p.Arg104Ter | 0.22432432 |
| P6-Tissue | HLA-C | 6 | 31239598 | G | T | Missense_Mutation | ENST00000383329.3:c.121C>A | ENSP00000372819.3:p.Arg41Ser | 0.06306306 |
| P6-Tissue | LATS1 | 6 | 150016266 | C | T | Missense_Mutation | ENST00000543571.1:c.440G>A | ENSP00000437550.1:p.Arg147Gln | 0.09 |
| P6-Tissue | RSPH3 | 6 | 159401898 | C | T | Missense_Mutation | ENST00000449822.1:c.479G>A | ENSP00000393195.1:p.Arg160Gln | 0.34782608 |
| P6-Tissue | HOXA5 | 7 | 27183114 | G | A | Missense_Mutation | ENST00000222726.3:c.113C>T | ENSP00000222726.3:p.Ala38Val | 0.16363636 |
| P6-Tissue | PDE1C | 7 | 31918637 | C | T | Missense_Mutation | ENST00000396193.1:c.577G>A | ENSP00000379496.1:p.Ala193Thr | 0.16666666 |
| P6-Tissue | MUC3A | 7 | 100552060 | A | T | Missense_Mutation | ENST00000319509.7:c.811A>T | ENSP00000324834.7:p.Ser271Cys | 0.05590062 |
| P6-Tissue | SMO | 7 | 128829134 | G | A | Missense_Mutation | ENST00000249373.3:c.142G>A | ENSP00000249373.3:p.Ala48Thr | 0.30612244 |
| P6-Tissue | OR2A14 | 7 | 143826836 | T | A | Missense_Mutation | ENST00000408899.2:c.631T>A | ENSP00000386137.2:p.Cys211Ser | 0.28571428 |
| P6-Tissue | ABRA | 8 | 107782411 | G | A | Missense_Mutation | ENST00000311955.3:c.8C>T | ENSP00000311436.3:p.Pro3Leu | 0.16883116 |
| P6-Tissue | GALT | 9 | 34648781 | AG | CT | Missense_Mutation | ENST00000450095.2:c.383_384inv | ENSP00000401956.2:p.Glu128Ala | 0.07070707 |
| P6-Tissue | CDH23 | 10 | 73462377 | G | C | Missense_Mutation | ENST00000299366.7:c.2794G>C | ENSP00000299366.7:p.Asp932His | 0.16205533 |
| P6-Tissue | NUTM2A | 10 | 88988593 | C | T | Missense_Mutation | ENST00000381707.2:c.956C>T | ENSP00000371126.1:p.Pro319Leu | 0.27160493 |
| P6-Tissue | PDCD11 | 10 | 105181274 | A | T | Missense_Mutation | ENST00000369797.3:c.2447A>T | ENSP00000358812.3:p.Asn816Ile | 0.00628930 |
| P6-Tissue | IFITM3 | 11 | 320606 | G | T | Missense_Mutation | ENST00000602735.1:c.145C>A | ENSP00000473544.1:p.Pro49Thr | 0.08099688 |
| P6-Tissue | OR5J2 | 11 | 55944161 | T | A | Missense_Mutation | ENST00000312298.1:c.68T>A | ENSP00000310788.1:p.Leu23Gln | 0.05806451 |
| P6-Tissue | GUCY1A2 | 11 | 106810250 | C | T | Missense_Mutation | ENST00000526355.2:c.1142G>A | ENSP00000431245.1:p.Arg381Gln | 0.28571428 |
| P6-Tissue | PPP2R1B | 11 | 111622992 | C | T | Missense_Mutation | ENST00000527614.1:c.1229G>A | ENSP00000437193.1:p.Arg410His | 0.11538461 |
| P6-Tissue | KRAS | 12 | 25398284 | C | T | Missense_Mutation | ENST00000557334.1:c.35G>A | ENSP00000452512.1:p.Gly12Asp | 0.33888888 |
| P6-Tissue | OVCH1 | 12 | 29604469 | CT | AG | Missense_Mutation | ENST00000318184.5:c.2563_2564inv | ENSP00000326708.5:p.Arg855Leu | 0.01401869 |
| P6-Tissue | MIP | 12 | 56848113 | CA | TG | Missense_Mutation | ENST00000257979.4:c.284_285inv | ENSP00000257979.4:p.Leu95Pro | 0.00729927 |
| P6-Tissue | PTPRB | 12 | 70918319 | T | C | Missense_Mutation | ENST00000550857.1:c.5633A>G | ENSP00000447302.1:p.Lys1878Arg | 0.36440678 |
| P6-Tissue | CCDC38 | 12 | 96284657 | C | T | Missense_Mutation | ENST00000344280.3:c.824G>A | ENSP00000345470.3:p.Arg275Lys | 0.2625 |
| P6-Tissue | ZC3H13 | 13 | 46549496 | C | A | Missense_Mutation | ENST00000282007.3:c.2390G>T | ENSP00000282007.3:p.Arg797Leu | 0.09183673 |
| P6-Tissue | RYR3 | 15 | 33905503 | G | A | Missense_Mutation | ENST00000415757.3:c.2284G>A | ENSP00000399610.3:p.Val762Met | 0.06109324 |
| P6-Tissue | POLG | 15 | 89860634 | T | A | Missense_Mutation | ENST00000442287.2:c.3616A>T | ENSP00000399851.2:p.Met1206Leu | 0.00684931 |
| P6-Tissue | SYNM | 15 | 99672797 | C | T | Missense_Mutation | ENST00000336292.6:c.4229C>T | ENSP00000336775.6:p.Thr1410Met | 0.29007633 |
| P6-Tissue | CACNA1H | 16 | 1270607 | CAC | GTG | Missense_Mutation | ENST00000565831.1:c.6657_6659inv | ENSP00000455840.1:p.Thr2220Trp | 0.02068965 |
| P6-Tissue | TPSG1 | 16 | 1271959 | G | C | Missense_Mutation | ENST00000234798.4:c.795C>G | ENSP00000234798.4:p.Ile265Met | 0.21404682 |
| P6-Tissue | TP53 | 17 | 7578406 | C | T | Missense_Mutation | ENST00000455263.2:c.524G>A | ENSP00000398846.2:p.Arg175His | 0.29239766 |
| P6-Tissue | CCDC43 | 17 | 42766975 | CTGCAGGATACCCA | C | Frame_Shift_Del | ENST00000588210.1:c.134_146del | ENSP00000467630.1:p.Leu45TrpfsTer46 | 0.09663865 |
| P6-Tissue | MYCBPAP | 17 | 48586027 | GG | CC | Missense_Mutation | ENST00000436259.2:c.10_11inv | ENSP00000397209.2:p.Gly4Pro | 0.01680672 |
| P6-Tissue | ANKFN1 | 17 | 54559838 | C | T | Missense_Mutation | ENST00000566473.2:c.2222C>T | ENSP00000454224.2:p.Thr741Ile | 0.25233644 |
| P6-Tissue | DSG2 | 18 | 29118830 | GTT | AAC | Missense_Mutation | ENST00000261590.8:c.1768_1770inv | ENSP00000261590.8:p.Val590Asn | 0.00666666 |
| P6-Tissue | SMAD4 | 18 | 48591975 | A | T | Missense_Mutation | ENST00000588745.1:c.850A>T | ENSP00000464901.1:p.Arg284Trp | 0.42657342 |
| P6-Tissue | RPS15 | 19 | 1440068 | G | C | Missense_Mutation | ENST00000593052.1:c.161G>C | ENSP00000466010.1:p.Arg54Pro | 0.28235294 |
| P6-Tissue | SAFB | 19 | 5650989 | G | C | Missense_Mutation | ENST00000592224.1:c.1199G>C | ENSP00000464840.1:p.Gly400Ala | 0.16091954 |
| P6-Tissue | ZNF560 | 19 | 9578164 | G | A | Missense_Mutation | ENST00000301480.4:c.1459C>T | ENSP00000301480.3:p.Arg487Cys | 0.14492753 |
| P6-Tissue | MAST3 | 19 | 18249866 | G | A | Missense_Mutation | ENST00000262811.6:c.2050G>A | ENSP00000262811.4:p.Glu684Lys | 0.27848101 |
| P6-Tissue | CYP2A13 | 19 | 41595958 | CG | TA | Missense_Mutation | ENST00000330436.3:c.350_351delinsTA | ENSP00000332679.1:p.Ala117Val | 0.03825136 |
| P6-Tissue | CIC | 19 | 42794415 | A | T | Missense_Mutation | ENST00000575354.2:c.1495A>T | ENSP00000458663.2:p.Ile499Phe | 0.12925170 |
| P6-Tissue | SIGLEC10 | 19 | 51920196 | G | T | Missense_Mutation | ENST00000525998.1:c.430C>A | ENSP00000431444.1:p.Gln144Lys | 0.12969283 |
| P6-Tissue | SIGLEC14 | 19 | 52146840 | C | T | Missense_Mutation | ENST00000360844.6:c.1098G>A | ENSP00000354090.5:p.Met366Ile | 0.37333333 |
| P6-Tissue | KIR3DL1 | 19 | 55329854 | G | A | Missense_Mutation | ENST00000541392.1:c.155G>A | ENSP00000442355.1:p.Arg52His | 0.11805555 |
| P6-Tissue | PCSK2 | 20 | 17462414 | G | A | Missense_Mutation | ENST00000536609.1:c.1511G>A | ENSP00000437458.1:p.Arg504His | 0.08333333 |
| P6-Tissue | SLC12A5 | 20 | 44669254 | G | A | Splice_Site | ENST00000454036.2:c.923+1G>A | 0.28703703 | |
| P6-Tissue | ZFP64 | 20 | 50705079 | A | T | Nonsense_Mutation | ENST00000371523.4:c.423T>A | ENSP00000360578.4:p.Cys141Ter | 0.01538461 |
| P6-Tissue | CYYR1 | 21 | 27840906 | C | A | Missense_Mutation | ENST00000299340.4:c.379G>T | ENSP00000299340.4:p.Asp127Tyr | 0.1 |
| P6-Tissue | MCM5 | 22 | 35806828 | C | T | Missense_Mutation | ENST00000382011.5:c.715C>T | ENSP00000371441.5:p.Arg239Cys | 0.22053231 |
| P6-Tissue | RRP7A | 22 | 42910199 | G | A | Missense_Mutation | ENST00000323013.6:c.670C>T | ENSP00000321449.6:p.Arg224Trp | 0.103125 |
| P6-Tissue | CXorf21 | X | 30578114 | A | AAG | Frame_Shift_Ins | ENST00000378962.3:c.358_359insCT | ENSP00000368245.3:p.Ile120ThrfsTer16 | 0.02564102 |
| P6-Tissue | CXorf21 | X | 30578116 | ACT | A | Frame_Shift_Del | ENST00000378962.3:c.355_356del | ENSP00000368245.3:p.Ser119TyrfsTer6 | 0.02816901 |
| P6-Tissue | KDM6A | X | 44929421 | GT | G | Frame_Shift_Del | ENST00000543216.1:c.2286del | ENSP00000443078.1:p.Thr763ProfsTer25 | 0.31791907 |
| P6-Tissue | SYP | X | 49049795 | G | C | Missense_Mutation | ENST00000538567.1:c.195C>G | ENSP00000437456.1:p.Cys65Trp | 0.02645502 |
| P6-Tissue | AWAT1 | X | 69456944 | TC | GA | Missense_Mutation | ENST00000374521.3:c.306_307inv | ENSP00000363645.3:p.His103Asn | 0.04195804 |
Organoid
| ID | Gene | CHROM | POS | REF | ALT | Consequence | HGVSc | HGVSp | VAF |
| P6-Organoid | ATAD3A | 1 | 1452592 | T | C | Missense_Mutation | ENST00000378755.5:c.328T>C | ENSP00000368030.5:p.Trp110Arg | 1 |
| P6-Organoid | MEGF6 | 1 | 3422096 | G | A | Missense_Mutation | ENST00000356575.4:c.1943C>T | ENSP00000348982.4:p.Pro648Leu | 1 |
| P6-Organoid | CA6 | 1 | 9009485 | CAACA | C | Frame_Shift_Del | ENST00000480186.3:c.245_248del | ENSP00000435280.1:NA | 0.15686274 |
| P6-Organoid | PRAMEF1 | 1 | 12855774 | A | G | Missense_Mutation | ENST00000400814.3:c.319A>G | ENSP00000383616.3:p.Lys352Glu | 0.17361111 |
| P6-Organoid | SYPL2 | 1 | 110019476 | C | A | Missense_Mutation | ENST00000401021.3:c.333C>A | ENSP00000383805.3:p.Phe111Leu | 1 |
| P6-Organoid | LRIF1 | 1 | 111493982 | C | A | Missense_Mutation | ENST00000369763.4:c.1524G>T | ENSP00000358778.4:p.Glu508Asp | 1 |
| P6-Organoid | NBPF20 | 1 | 148343792 | C | A | Missense_Mutation | ENST00000414710.2:c.295G>T | ENSP00000389520.2:p.Val99Phe | 0.19354838 |
| P6-Organoid | CRP | 1 | 159683629 | C | T | Missense_Mutation | ENST00000255030.5:c.361G>A | ENSP00000255030.5:p.Ala121Thr | 0.45522388 |
| P6-Organoid | CFH | 1 | 196659293 | C | A | Nonsense_Mutation | ENST00000439155.2:c.1260C>A | ENSP00000402656.2:NA | 0.07421875 |
| P6-Organoid | DISP1 | 1 | 223116620 | C | T | Missense_Mutation | ENST00000360254.2:c.455C>T | ENSP00000355848.1:p.Pro152Leu | 0.54618473 |
| P6-Organoid | ASAP2 | 2 | 9347277 | A | T | Missense_Mutation | ENST00000315273.4:c.44A>T | ENSP00000316404.4:p.His15Leu | 0.07796610 |
| P6-Organoid | DNMT3A | 2 | 25469175 | T | A | Missense_Mutation | ENST00000402667.1:c.614A>T | ENSP00000384237.1:p.Glu205Val | 0.40909090 |
| P6-Organoid | CRIM1 | 2 | 36726432 | C | A | Missense_Mutation | ENST00000280527.2:c.1443C>A | ENSP00000280527.2:p.Asp481Glu | 0.36690647 |
| P6-Organoid | RHOQ | 2 | 46803760 | A | G | Missense_Mutation | ENST00000238738.4:c.427A>G | ENSP00000238738.4:p.Ile143Val | 0.02521008 |
| P6-Organoid | REG3A | 2 | 79385866 | C | G | Missense_Mutation | ENST00000409839.3:c.106G>C | ENSP00000386630.3:p.Ala36Pro | 0.02352941 |
| P6-Organoid | RETSAT | 2 | 85570849 | C | T | Missense_Mutation | ENST00000457495.2:c.1423G>A | ENSP00000405040.2:p.Gly475Arg | 0.20098039 |
| P6-Organoid | RETSAT | 2 | 85570857 | G | A | Missense_Mutation | ENST00000457495.2:c.1415C>T | ENSP00000405040.2:p.Ala472Val | 0.22405660 |
| P6-Organoid | LIMS1 | 2 | 109276221 | G | T | Splice_Site | ENST00000544547.1:c.192+1G>T | 0.28643216 | |
| P6-Organoid | ANAPC1 | 2 | 112614429 | G | A | Nonsense_Mutation | ENST00000341068.3:c.1393C>T | ENSP00000339109.3:p.Gln465Ter | 0.11240310 |
| P6-Organoid | CYP27C1 | 2 | 127957056 | T | A | Missense_Mutation | ENST00000409327.1:c.448A>T | ENSP00000387198.1:p.Arg150Trp | 0.40284360 |
| P6-Organoid | LRP1B | 2 | 141215143 | T | A | Nonsense_Mutation | ENST00000389484.3:c.9703A>T | ENSP00000374135.3:p.Lys3235Ter | 0.45901639 |
| P6-Organoid | OR5H14 | 3 | 97868683 | G | C | Missense_Mutation | ENST00000437310.1:c.454G>C | ENSP00000401706.1:p.Gly152Arg | 0.14526315 |
| P6-Organoid | KPNA1 | 3 | 122145899 | A | G | Missense_Mutation | ENST00000344337.6:c.1550T>C | ENSP00000343701.6:p.Val517Ala | 0.42920354 |
| P6-Organoid | C3orf70 | 3 | 184870580 | C | A | Missense_Mutation | ENST00000335012.2:c.32G>T | ENSP00000334974.2:p.Arg11Leu | 0.45522388 |
| P6-Organoid | DGKQ | 4 | 961585 | C | A | Missense_Mutation | ENST00000273814.3:c.817G>T | ENSP00000273814.3:p.Gly273Trp | 0.02424242 |
| P6-Organoid | ARHGAP10 | 4 | 148786045 | C | T | Missense_Mutation | ENST00000336498.3:c.535C>T | ENSP00000336923.3:p.Leu179Phe | 0.10071942 |
| P6-Organoid | FSTL5 | 4 | 162421217 | C | T | Missense_Mutation | ENST00000536695.1:c.1406G>A | ENSP00000440409.1:p.Cys469Tyr | 0.55737704 |
| P6-Organoid | CCNO | 5 | 54527501 | G | A | Missense_Mutation | ENST00000282572.4:c.755C>T | ENSP00000282572.4:p.Ala252Val | 0.41176470 |
| P6-Organoid | HOMER1 | 5 | 78752778 | GTTC | G | In_Frame_Del | ENST00000508576.1:c.66_68del | ENSP00000426651.1:p.Lys22del | 0.39230769 |
| P6-Organoid | FCHSD1 | 5 | 141029021 | G | A | Nonsense_Mutation | ENST00000522783.1:c.310C>T | ENSP00000428677.1:p.Arg104Ter | 0.55016181 |
| P6-Organoid | HLA-C | 6 | 31239598 | G | T | Missense_Mutation | ENST00000383329.3:c.121C>A | ENSP00000372819.3:p.Arg41Ser | 0.08641975 |
| P6-Organoid | RSPH3 | 6 | 159401898 | C | T | Missense_Mutation | ENST00000449822.1:c.479G>A | ENSP00000393195.1:p.Arg160Gln | 1 |
| P6-Organoid | HOXA5 | 7 | 27183114 | G | A | Missense_Mutation | ENST00000222726.3:c.113C>T | ENSP00000222726.3:p.Ala38Val | 0.37878787 |
| P6-Organoid | PDE1C | 7 | 31918637 | C | T | Missense_Mutation | ENST00000396193.1:c.577G>A | ENSP00000379496.1:p.Ala193Thr | 0.33333333 |
| P6-Organoid | MAGI2 | 7 | 77789399 | C | T | Missense_Mutation | ENST00000522391.1:c.2788G>A | ENSP00000428389.1:p.Gly930Ser | 0.09150326 |
| P6-Organoid | SMO | 7 | 128829134 | G | A | Missense_Mutation | ENST00000249373.3:c.142G>A | ENSP00000249373.3:p.Ala48Thr | 0.61764705 |
| P6-Organoid | OR2A14 | 7 | 143826836 | T | A | Missense_Mutation | ENST00000408899.2:c.631T>A | ENSP00000386137.2:p.Cys211Ser | 0.74074074 |
| P6-Organoid | ABRA | 8 | 107782411 | G | A | Missense_Mutation | ENST00000311955.3:c.8C>T | ENSP00000311436.3:p.Pro3Leu | 0.51470588 |
| P6-Organoid | MLLT3 | 9 | 20414307 | GCTA | G | In_Frame_Del | ENST00000429426.2:c.525_527del | ENSP00000410482.2:p.Ser187del | 0.07407407 |
| P6-Organoid | ODF2 | 9 | 131256981 | A | G | Missense_Mutation | ENST00000546203.1:c.1888A>G | ENSP00000437579.1:p.Thr630Ala | 0.01807228 |
| P6-Organoid | ODF2 | 9 | 131256999 | A | T | Missense_Mutation | ENST00000546203.1:c.1906A>T | ENSP00000437579.1:p.Ile636Leu | 0.02068965 |
| P6-Organoid | UNC5B | 10 | 73046531 | G | A | Missense_Mutation | ENST00000373192.4:c.638G>A | ENSP00000362288.4:p.Arg213His | 0.555 |
| P6-Organoid | CDH23 | 10 | 73462377 | G | C | Missense_Mutation | ENST00000299366.7:c.2794G>C | ENSP00000299366.7:p.Asp932His | 0.35242290 |
| P6-Organoid | NUTM2A | 10 | 88988593 | C | T | Missense_Mutation | ENST00000381707.2:c.956C>T | ENSP00000371126.1:p.Pro319Leu | 0.16842105 |
| P6-Organoid | PNLIPRP1 | 10 | 118368594 | G | A | Missense_Mutation | ENST00000534537.1:c.1370G>A | ENSP00000434159.1:p.Arg457Gln | 0.11956521 |
| P6-Organoid | IFITM3 | 11 | 320606 | G | T | Missense_Mutation | ENST00000602735.1:c.145C>A | ENSP00000473544.1:p.Pro49Thr | 0.08203125 |
| P6-Organoid | PHF21A | 11 | 45967494 | T | G | Missense_Mutation | ENST00000418153.2:c.1346A>C | ENSP00000398824.2:p.Gln449Pro | 0.03614457 |
| P6-Organoid | POLA2 | 11 | 65036162 | G | T | Nonsense_Mutation | ENST00000265465.3:c.316G>T | ENSP00000265465.3:p.Glu106Ter | 0.02758620 |
| P6-Organoid | GUCY1A2 | 11 | 106810250 | C | T | Missense_Mutation | ENST00000526355.2:c.1142G>A | ENSP00000431245.1:p.Arg381Gln | 0.63076923 |
| P6-Organoid | PPP2R1B | 11 | 111622992 | C | T | Missense_Mutation | ENST00000527614.1:c.1229G>A | ENSP00000437193.1:p.Arg410His | 0.26623376 |
| P6-Organoid | KRAS | 12 | 25398284 | C | T | Missense_Mutation | ENST00000557334.1:c.35G>A | ENSP00000452512.1:p.Gly12Asp | 0.47019867 |
| P6-Organoid | BHLHE41 | 12 | 26275210 | G | T | Missense_Mutation | ENST00000242728.4:c.1238C>A | ENSP00000242728.4:p.Pro413His | 0.04615384 |
| P6-Organoid | DDX11 | 12 | 31237967 | C | G | Missense_Mutation | ENST00000545668.1:c.545C>G | ENSP00000440402.1:p.Pro182Arg | 0.09166666 |
| P6-Organoid | DDX11 | 12 | 31237978 | C | T | Missense_Mutation | ENST00000545668.1:c.556C>T | ENSP00000440402.1:p.Arg186Trp | 0.05490196 |
| P6-Organoid | PTPRB | 12 | 70918319 | T | C | Missense_Mutation | ENST00000550857.1:c.5633A>G | ENSP00000447302.1:p.Lys1878Arg | 1 |
| P6-Organoid | CCDC38 | 12 | 96284657 | C | T | Missense_Mutation | ENST00000344280.3:c.824G>A | ENSP00000345470.3:p.Arg275Lys | 0.97894736 |
| P6-Organoid | PPP1CC | 12 | 111160344 | A | G | Missense_Mutation | ENST00000551676.1:c.680T>C | ENSP00000448437.1:p.Phe227Ser | 0.0703125 |
| P6-Organoid | CLIP1 | 12 | 122835680 | T | G | Missense_Mutation | ENST00000540338.1:c.1379A>C | ENSP00000439093.1:p.Gln460Pro | 0.04 |
| P6-Organoid | DACH1 | 13 | 72440661 | C | T | Missense_Mutation | ENST00000359684.2:c.247G>A | ENSP00000352712.2:p.Gly83Ser | 0.11538461 |
| P6-Organoid | HERC2 | 15 | 28447282 | CG | TA | Missense_Mutation | ENST00000261609.7:c.7593_7594delinsTA | ENSP00000261609.7:p.Val2532Met | 0.17171717 |
| P6-Organoid | SYNM | 15 | 99672797 | C | T | Missense_Mutation | ENST00000336292.6:c.4229C>T | ENSP00000336775.6:p.Thr1410Met | 0.59006211 |
| P6-Organoid | TPSG1 | 16 | 1271959 | G | C | Missense_Mutation | ENST00000234798.4:c.795C>G | ENSP00000234798.4:p.Ile265Met | 0.55555555 |
| P6-Organoid | KATNB1 | 16 | 57784820 | C | T | Missense_Mutation | ENST00000379661.3:c.371C>T | ENSP00000368982.3:p.Ser124Phe | 0.10967741 |
| P6-Organoid | BCMO1 | 16 | 81319232 | C | A | Missense_Mutation | ENST00000425577.2:c.1088C>A | ENSP00000400586.2:p.Pro363Gln | 0.05882352 |
| P6-Organoid | SLC2A4 | 17 | 7186645 | G | T | Missense_Mutation | ENST00000571308.1:c.115G>T | ENSP00000459864.1:p.Gly39Trp | 0.04 |
| P6-Organoid | TP53 | 17 | 7578406 | C | T | Missense_Mutation | ENST00000455263.2:c.524G>A | ENSP00000398846.2:p.Arg175His | 1 |
| P6-Organoid | CCDC43 | 17 | 42766975 | CTGCAGGATACCCA | C | Frame_Shift_Del | ENST00000588210.1:c.134_146del | ENSP00000467630.1:p.Leu45TrpfsTer46 | 0.36734693 |
| P6-Organoid | NPEPPS | 17 | 45663749 | G | A | Missense_Mutation | ENST00000544660.1:c.725G>A | ENSP00000442461.1:p.Gly242Asp | 0.08974359 |
| P6-Organoid | ANKFN1 | 17 | 54559838 | C | T | Missense_Mutation | ENST00000566473.2:c.2222C>T | ENSP00000454224.2:p.Thr741Ile | 0.53125 |
| P6-Organoid | MED13 | 17 | 60140634 | T | C | Missense_Mutation | ENST00000397786.2:c.95A>G | ENSP00000380888.2:p.Lys32Arg | 0.01578947 |
| P6-Organoid | SMAD4 | 18 | 48591975 | A | T | Missense_Mutation | ENST00000588745.1:c.850A>T | ENSP00000464901.1:p.Arg284Trp | 0.98876404 |
| P6-Organoid | RPS15 | 19 | 1440068 | G | C | Missense_Mutation | ENST00000593052.1:c.161G>C | ENSP00000466010.1:p.Arg54Pro | 0.24503311 |
| P6-Organoid | SAFB | 19 | 5650989 | G | C | Missense_Mutation | ENST00000592224.1:c.1199G>C | ENSP00000464840.1:p.Gly400Ala | 0.25 |
| P6-Organoid | ZNF560 | 19 | 9578164 | G | A | Missense_Mutation | ENST00000301480.4:c.1459C>T | ENSP00000301480.3:p.Arg487Cys | 0.37634408 |
| P6-Organoid | WIZ | 19 | 15536142 | G | A | Missense_Mutation | ENST00000599910.2:c.2041C>T | ENSP00000469022.1:p.Leu681Phe | 0.05 |
| P6-Organoid | MAST3 | 19 | 18249866 | G | A | Missense_Mutation | ENST00000262811.6:c.2050G>A | ENSP00000262811.4:p.Glu684Lys | 0.64335664 |
| P6-Organoid | CIC | 19 | 42794415 | A | T | Missense_Mutation | ENST00000575354.2:c.1495A>T | ENSP00000458663.2:p.Ile499Phe | 0.34693877 |
| P6-Organoid | SIGLEC10 | 19 | 51920196 | G | T | Missense_Mutation | ENST00000525998.1:c.430C>A | ENSP00000431444.1:p.Gln144Lys | 0.136 |
| P6-Organoid | SIGLEC14 | 19 | 52146840 | C | T | Missense_Mutation | ENST00000360844.6:c.1098G>A | ENSP00000354090.5:p.Met366Ile | 1 |
| P6-Organoid | KIR3DL1 | 19 | 55329854 | G | A | Missense_Mutation | ENST00000541392.1:c.155G>A | ENSP00000442355.1:p.Arg52His | 0.19827586 |
| P6-Organoid | SLC12A5 | 20 | 44669254 | G | A | Splice_Site | ENST00000454036.2:c.923+1G>A | 0.45049505 | |
| P6-Organoid | PI4KA | 22 | 21067589 | CC | GT | Missense_Mutation | ENST00000572273.1:c.5376_5377delinsAC | ENSP00000458238.1:p.Val1793Leu | 0.04958677 |
| P6-Organoid | MCM5 | 22 | 35806828 | C | T | Missense_Mutation | ENST00000382011.5:c.715C>T | ENSP00000371441.5:p.Arg239Cys | 0.65053763 |
| P6-Organoid | KDM6A | X | 44929421 | GT | G | Frame_Shift_Del | ENST00000543216.1:c.2286del | ENSP00000443078.1:p.Thr763ProfsTer25 | 0.93181818 |
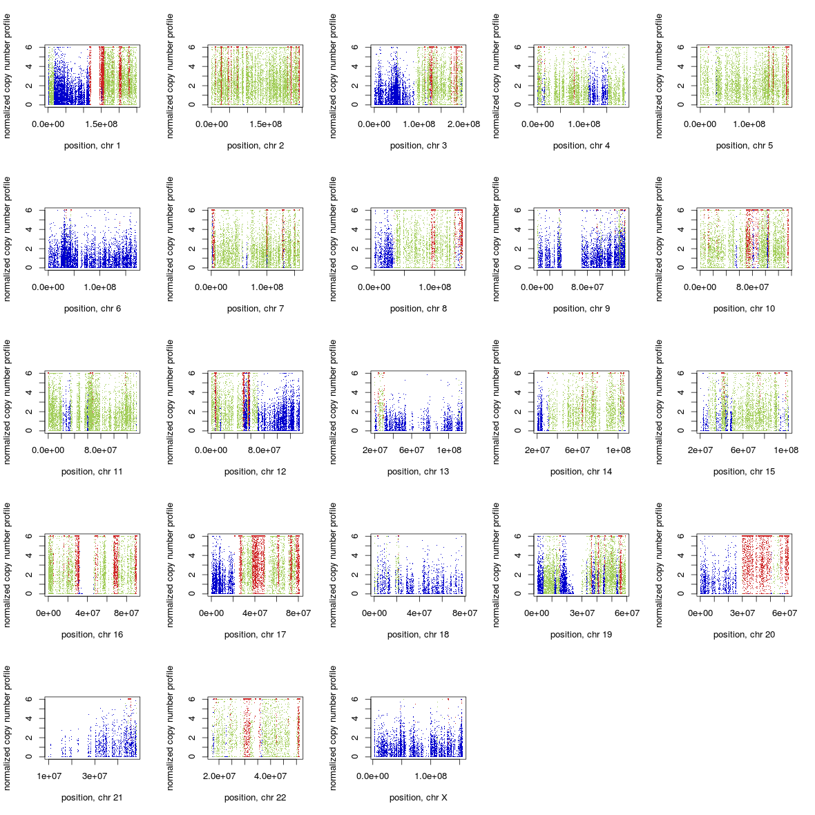
Somatic Copy Number Alterations
Primary Tumor
Organoid
Concordance between Primary tumor and Organoid
VAF-VAF Plot
Number of Shared Mutations between Primary tumor and organoid (All mutations)
Number of Shared Mutations between Primary tumor and organoid (Functional mutations)
Drug Responses
| ID | Drug | IC50 |
| P6 | AZD2014 | ~ 4956 |
| P6 | AZD3759 | ~ 2784 |
| P6 | AZD4547 | ~ 24027 |
| P6 | AZD5363 | ~ 6.764e-015 |
| P6 | AZD6738 | ~ 81.24 |
| P6 | AZD9291 | 23.32 |
| P6 | I.BET.762 | ~ 4572 |
| P6 | Rapamycin..Sirolimus. | ~ 167192 |
| P6 | AZD1775..MK.1775. | ~ 0.004098 |
| P6 | Triptolide..PG490. | 32.34 |
| P6 | Simvastatin | ~ 351.4 |
| P6 | Temozolomide | ~ 211120 |
| P6 | Imatinib.Mesylate..STI571. | ~ 19428150 |
| P6 | Pazopanib..GW786034. | ~ 4779 |
| P6 | Sunitinib.Malate | ~ 73436 |
| P6 | Olaparib..AZD2281..KU0059436. | 5271 |
| P6 | Regorafenib..BAY.73.4506. | ~ 0.000 |
| P6 | Erlotinib | ~ 1.299e-008 |
| P6 | Gefitinib | 320.9 |
| P6 | Afatinib | ~ 6739162 |
| P6 | OTX.015 | ~ 294.3 |
| P6 | BKM120..NVP.BKM120. | 81739 |
| P6 | BYL719 | ~ 2.606e+019 |
| P6 | Cediranib..AZD2171. | 21112 |
| P6 | Ceritinib.LDK378. | 1037 |
| P6 | Crizotinib...PF.02341066. | ~ 5390 |
| P6 | Dabrafenib | 3526 |
| P6 | Dacomitinib | 48.65 |
| P6 | Everolimus..RAD001. | 170 |
| P6 | Ibrutinib..PCI.32765. | ~ 182814509817 |
| P6 | Lapatinib | ~ 71960409477 |
| P6 | LY2835219 | ~ 8562 |
| P6 | Brivanib..BMS.582664. | ~ 0.009942 |
| P6 | Panobinostat | 53.08 |
| P6 | Selumetinib..AZD6244. | ~ 68.16 |
| P6 | Sorafenib | ~ 0.000 |
| P6 | Trametinib | 68.8 |
| P6 | Vandetanib..ZD6474. | 639.4 |
| P6 | Vemurafenib | ~ 85.69 |
| P6 | AZD5153 | ~ 4079 |
| P6 | ABT.199..GDC.0199.. | ~ 168.9 |
| P6 | ABT.888..Veliparib..NSC.737664. | |
| P6 | Avagacestat..BMS.708163. | ~ |
| P6 | Axitinib...AG.013736. | 1179 |
| P6 | Bosutinib..SKI.606. | ~ 1250 |
| P6 | Cabozantinib..XL184. | ~ 1.869e+031 |
| P6 | Dasatinib..BMS.354825. | ~ 1.864e+022 |
| P6 | decitabine | ~ 27802 |
| P6 | defactinib | ~ 0.000 |
| P6 | Dovitinib..TKI258.CHIR258. | ~ 4271 |
| P6 | Fluorouracil..5.Fluoracil..5.FU. | ~ 4.160 |
| P6 | Foretinib..XL880. | 68989 |
| P6 | Tivantinib..ARQ.197. | 890.9 |
| P6 | Abraxane | ~ 132.0 |
| P6 | AZD2461.olaparib.analog. | ~ 5.689e+043 |
| P6 | Olaparib. | 455.6 |
| P6 | Idelalisib | ~ 335.2 |
| P6 | Irinotecan | ~ 23710 |
| P6 | Nilotinib..AMN.107. | 2655 |
| P6 | NVP.AEW541 | ~ 32880 |
| P6 | Oxaliplatin | 8.56 |
| P6 | PLX3397 | ~ |
| P6 | Quizartinib..AC220. | ~ 4.576 |
| P6 | Saracatinib..AZD0530. | 1736 |
| P6 | Semagacestat..LY450139. | ~ 0.000 |
| P6 | TGX.221 | ~ 162.8 |
| P6 | tozasertib | ~ 4.758e-031 |
| P6 | Vorinostat..SAHA..MK0683. | 5660 |
| P6 | XAV939 | ~ 3.997e+014 |
| P6 | gemcitabine | ~ 2.185e+016 |
| P6 | palbociclib | ~ 146955277873 |
| P6 | Neratinib..HKI.272. | ~ 378.6 |