Organoidomics
Please contact Prof. Semin Lee, Jinho Jang or Web-master for any inquires.
3D Organoids
3D OrganoidsRAMP
RAMPClinical Information
| ID | Diagnosis | Stage | Age | BMI | Sex | CA19-9 |
| P11 | PDAC | 4 | 64 | 29.9 | Female | 69.9 |
Mutation Profiles
Primary Tumor
| ID | Gene | CHROM | POS | REF | ALT | Consequence | HGVSc | HGVSp | VAF |
| P11-Tissue | PRAMEF22 | 1 | 13038350 | T | C | Missense_Mutation | ENST00000376187.1:c.1415T>C | ENSP00000365358.1:p.Phe472Ser | 0.29850746 |
| P11-Tissue | LYPLA2 | 1 | 24121214 | CCTGT | C | Frame_Shift_Del | ENST00000374514.3:c.691_694del | ENSP00000363638.3:NA | 0.03278688 |
| P11-Tissue | RC3H1 | 1 | 173952772 | G | A | Nonsense_Mutation | ENST00000367696.2:c.376C>T | ENSP00000356669.2:p.Gln126Ter | 0.16216216 |
| P11-Tissue | TARBP1 | 1 | 234596068 | T | C | Missense_Mutation | ENST00000040877.1:c.1474A>G | ENSP00000040877.1:p.Lys492Glu | 0.12021857 |
| P11-Tissue | LHCGR | 2 | 48982761 | A | T | Missense_Mutation | ENST00000405626.1:c.50T>A | ENSP00000386033.1:p.Leu17Gln | 0.02649006 |
| P11-Tissue | TTN | 2 | 179432192 | G | T | Missense_Mutation | ENST00000591111.1:c.73744C>A | ENSP00000465570.1:p.Pro24582Thr | 0.10778443 |
| P11-Tissue | SETD2 | 3 | 47162702 | C | A | Nonsense_Mutation | ENST00000409792.3:c.3424G>T | ENSP00000386759.3:p.Glu1142Ter | 0.09722222 |
| P11-Tissue | SEC62 | 3 | 169693395 | G | T | Splice_Site | ENST00000480708.1:c.37-1G>T | 0.03623188 | |
| P11-Tissue | SYNPO2 | 4 | 119978759 | CCAGGAATCCATTGTG | C | In_Frame_Del | ENST00000307142.4:c.3457_3471del | ENSP00000306015.4:p.Gln1153_Val1157del | 0.09677419 |
| P11-Tissue | FRG1 | 4 | 190878589 | A | G | Missense_Mutation | ENST00000226798.4:c.469A>G | ENSP00000226798.4:p.Ile157Val | 0.08547008 |
| P11-Tissue | TRPC7 | 5 | 135587435 | AG | CT | Missense_Mutation | ENST00000513104.1:c.1480_1481inv | ENSP00000426070.1:p.Leu494Arg | 0.02054794 |
| P11-Tissue | RNF14 | 5 | 141357877 | C | G | Missense_Mutation | ENST00000394520.2:c.316C>G | ENSP00000378028.2:p.Leu106Val | 0.09333333 |
| P11-Tissue | TFAP2B | 6 | 50791226 | C | G | Missense_Mutation | ENST00000393655.3:c.188C>G | ENSP00000377265.2:p.Ser63Trp | 0.065625 |
| P11-Tissue | SOGA3 | 6 | 127797102 | G | A | Missense_Mutation | ENST00000556132.1:c.2069C>T | ENSP00000451768.1:p.Ala690Val | 0.05109489 |
| P11-Tissue | CNBD1 | 8 | 88365922 | A | T | Missense_Mutation | ENST00000518476.1:c.1211A>T | ENSP00000430073.1:p.Glu404Val | 0.12987013 |
| P11-Tissue | TUBAL3 | 10 | 5437430 | G | A | Missense_Mutation | ENST00000479328.1:c.136C>T | ENSP00000418799.1:p.Arg46Trp | 0.03347280 |
| P11-Tissue | TRIM3 | 11 | 6479476 | A | G | Missense_Mutation | ENST00000537602.1:c.182T>C | ENSP00000441091.1:p.Val61Ala | 0.10404624 |
| P11-Tissue | OR5L1 | 11 | 55579307 | G | A | Missense_Mutation | ENST00000333973.2:c.365G>A | ENSP00000335529.2:p.Arg122His | 0.08843537 |
| P11-Tissue | OR1S1 | 11 | 57982317 | A | T | Missense_Mutation | ENST00000309433.6:c.101A>T | ENSP00000311688.6:p.Asp34Val | 0.05957446 |
| P11-Tissue | KRAS | 12 | 25398284 | C | A | Missense_Mutation | ENST00000557334.1:c.35G>T | ENSP00000452512.1:p.Gly12Val | 0.16666666 |
| P11-Tissue | KMT2D | 12 | 49434018 | CT | C | Frame_Shift_Del | ENST00000301067.7:c.7534del | ENSP00000301067.7:p.Ser2512ValfsTer31 | 0.04639175 |
| P11-Tissue | RB1 | 13 | 48916747 | C | T | Nonsense_Mutation | ENST00000267163.4:c.277C>T | ENSP00000267163.4:p.Gln93Ter | 0.225 |
| P11-Tissue | DIAPH3 | 13 | 60737862 | T | A | Missense_Mutation | ENST00000400330.1:c.39A>T | ENSP00000383184.1:p.Gln13His | 0.15686274 |
| P11-Tissue | NDFIP2 | 13 | 80055604 | A | T | Missense_Mutation | ENST00000218652.7:c.266A>T | ENSP00000218652.7:p.Asp89Val | 0.11864406 |
| P11-Tissue | C15orf26 | 15 | 81436026 | G | C | Missense_Mutation | ENST00000286732.4:c.501G>C | ENSP00000286732.4:p.Arg167Ser | 0.08053691 |
| P11-Tissue | ZNF213 | 16 | 3187465 | G | A | Missense_Mutation | ENST00000576416.1:c.184G>A | ENSP00000459177.1:p.Ala62Thr | 0.13930348 |
| P11-Tissue | ALG1 | 16 | 5132659 | C | T | Missense_Mutation | ENST00000588623.1:c.839C>T | ENSP00000468118.1:p.Ala280Val | 0.07166123 |
| P11-Tissue | TP53 | 17 | 7577506 | C | A | Missense_Mutation | ENST00000455263.2:c.775G>T | ENSP00000398846.2:p.Asp259Tyr | 0.15723270 |
| P11-Tissue | MYH13 | 17 | 10258269 | C | T | Missense_Mutation | ENST00000418404.3:c.844G>A | ENSP00000404570.3:p.Glu282Lys | 0.07738095 |
| P11-Tissue | BPTF | 17 | 65850452 | A | G | Missense_Mutation | ENST00000424123.3:c.593A>G | ENSP00000388405.3:p.Asp198Gly | 0.10559006 |
| P11-Tissue | ENGASE | 17 | 77078018 | A | G | Missense_Mutation | ENST00000579016.1:c.911A>G | ENSP00000462333.1:p.Tyr304Cys | 0.078125 |
| P11-Tissue | SLC14A2 | 18 | 43262402 | C | T | Missense_Mutation | ENST00000589658.1:c.1112C>T | ENSP00000465349.1:p.Ala371Val | 0.07142857 |
Organoid
| ID | Gene | CHROM | POS | REF | ALT | Consequence | HGVSc | HGVSp | VAF |
| P11-Organoid | PLEKHN1 | 1 | 901915 | G | T | Missense_Mutation | ENST00000379410.3:c.4G>T | ENSP00000368720.3:NA | 0.02083333 |
| P11-Organoid | PRAMEF4 | 1 | 12943166 | C | T | Missense_Mutation | ENST00000235349.5:c.50G>A | ENSP00000235349.5:NA | 0.39790575 |
| P11-Organoid | LYPLA2 | 1 | 24121214 | CCTGT | C | Frame_Shift_Del | ENST00000374514.3:c.691_694del | ENSP00000363638.3:NA | 0.18012422 |
| P11-Organoid | SPTA1 | 1 | 158605779 | C | A | Missense_Mutation | ENST00000368147.4:c.5356G>T | ENSP00000357129.4:p.Gly1786Trp | 0.09223301 |
| P11-Organoid | RC3H1 | 1 | 173952772 | G | A | Nonsense_Mutation | ENST00000367696.2:c.376C>T | ENSP00000356669.2:p.Gln126Ter | 0.56756756 |
| P11-Organoid | TARBP1 | 1 | 234596068 | T | C | Missense_Mutation | ENST00000040877.1:c.1474A>G | ENSP00000040877.1:p.Lys492Glu | 0.58095238 |
| P11-Organoid | TBCE | 1 | 235594030 | C | CT | Frame_Shift_Ins | ENST00000543662.1:c.572dup | ENSP00000439170.1:p.Phe193IlefsTer28 | 0.54950495 |
| P11-Organoid | PPM1G | 2 | 27607572 | C | A | Missense_Mutation | ENST00000350803.4:c.793G>T | ENSP00000264714.4:p.Asp265Tyr | 0.01869158 |
| P11-Organoid | TTN | 2 | 179432192 | G | T | Missense_Mutation | ENST00000591111.1:c.73744C>A | ENSP00000465570.1:p.Pro24582Thr | 0.47448979 |
| P11-Organoid | SETD2 | 3 | 47162702 | C | A | Nonsense_Mutation | ENST00000409792.3:c.3424G>T | ENSP00000386759.3:p.Glu1142Ter | 0.17647058 |
| P11-Organoid | MYNN | 3 | 169492309 | CTG | C | Frame_Shift_Del | ENST00000544106.1:c.228_229del | ENSP00000440637.1:p.Leu77GlyfsTer11 | 0.04545454 |
| P11-Organoid | CRIPAK | 4 | 1388757 | T | C | Missense_Mutation | ENST00000324803.4:c.458T>C | ENSP00000323978.4:p.Met153Thr | 0.26960784 |
| P11-Organoid | SYNPO2 | 4 | 119978759 | CCAGGAATCCATTGTG | C | In_Frame_Del | ENST00000307142.4:c.3457_3471del | ENSP00000306015.4:p.Gln1153_Val1157del | 0.23648648 |
| P11-Organoid | FRG1 | 4 | 190878589 | A | G | Missense_Mutation | ENST00000226798.4:c.469A>G | ENSP00000226798.4:p.Ile157Val | 0.03990610 |
| P11-Organoid | RNF14 | 5 | 141357877 | C | G | Missense_Mutation | ENST00000394520.2:c.316C>G | ENSP00000378028.2:p.Leu106Val | 0.616 |
| P11-Organoid | ZFAND3 | 6 | 38084383 | C | T | Missense_Mutation | ENST00000373391.2:c.331C>T | ENSP00000362489.2:p.Arg111Trp | 0.08585858 |
| P11-Organoid | TFAP2D | 6 | 50696688 | C | A | Missense_Mutation | ENST00000008391.3:c.718C>A | ENSP00000008391.3:p.Pro240Thr | 0.025 |
| P11-Organoid | TFAP2B | 6 | 50791226 | C | G | Missense_Mutation | ENST00000393655.3:c.188C>G | ENSP00000377265.2:p.Ser63Trp | 0.39884393 |
| P11-Organoid | SOGA3 | 6 | 127797102 | G | A | Missense_Mutation | ENST00000556132.1:c.2069C>T | ENSP00000451768.1:p.Ala690Val | 0.41935483 |
| P11-Organoid | PLEKHG1 | 6 | 151139353 | G | A | Splice_Site | ENST00000367328.1:c.1312+1G>A | 0.40588235 | |
| P11-Organoid | SCIN | 7 | 12689144 | T | A | Missense_Mutation | ENST00000519209.1:c.1193T>A | ENSP00000430997.1:p.Val398Asp | 0.11458333 |
| P11-Organoid | ABCA13 | 7 | 48559842 | T | G | Missense_Mutation | ENST00000544596.1:c.1193T>G | ENSP00000442634.1:p.Leu398Arg | 0.05426356 |
| P11-Organoid | CNBD1 | 8 | 88365922 | A | T | Missense_Mutation | ENST00000518476.1:c.1211A>T | ENSP00000430073.1:p.Glu404Val | 0.64532019 |
| P11-Organoid | TOP1MT | 8 | 144408459 | G | A | Missense_Mutation | ENST00000523676.1:c.122C>T | ENSP00000429181.1:p.Thr41Met | 0.13838120 |
| P11-Organoid | PPAPDC2 | 9 | 4663187 | A | G | Missense_Mutation | ENST00000381883.2:c.812A>G | ENSP00000371307.2:p.Gln271Arg | 0.125 |
| P11-Organoid | OR13C4 | 9 | 107289207 | G | T | Missense_Mutation | ENST00000277216.3:c.284C>A | ENSP00000277216.3:p.Ser95Tyr | 0.17525773 |
| P11-Organoid | TUBAL3 | 10 | 5437430 | G | A | Missense_Mutation | ENST00000479328.1:c.136C>T | ENSP00000418799.1:p.Arg46Trp | 0.20821917 |
| P11-Organoid | ADAMTS14 | 10 | 72520449 | C | T | Missense_Mutation | ENST00000373208.1:c.3521C>T | ENSP00000362304.1:p.Pro1174Leu | 0.06140350 |
| P11-Organoid | CYP2E1 | 10 | 135347332 | G | T | Missense_Mutation | ENST00000463117.2:c.898G>T | ENSP00000440689.1:p.Gly300Trp | 0.01226993 |
| P11-Organoid | TRIM3 | 11 | 6479476 | A | G | Missense_Mutation | ENST00000537602.1:c.182T>C | ENSP00000441091.1:p.Val61Ala | 0.45185185 |
| P11-Organoid | OR1S1 | 11 | 57982317 | A | T | Missense_Mutation | ENST00000309433.6:c.101A>T | ENSP00000311688.6:p.Asp34Val | 0.32777777 |
| P11-Organoid | TENM4 | 11 | 78498042 | C | T | Missense_Mutation | ENST00000278550.7:c.2266G>A | ENSP00000278550.7:p.Asp756Asn | 0.12173913 |
| P11-Organoid | KRAS | 12 | 25398284 | C | A | Missense_Mutation | ENST00000557334.1:c.35G>T | ENSP00000452512.1:p.Gly12Val | 0.59643916 |
| P11-Organoid | KMT2D | 12 | 49434018 | CT | C | Frame_Shift_Del | ENST00000301067.7:c.7534del | ENSP00000301067.7:p.Ser2512ValfsTer31 | 0.44311377 |
| P11-Organoid | WDR66 | 12 | 122392233 | A | G | Missense_Mutation | ENST00000397454.2:c.1528A>G | ENSP00000380595.2:p.Ile510Val | 0.42452830 |
| P11-Organoid | RB1 | 13 | 48916747 | C | T | Nonsense_Mutation | ENST00000267163.4:c.277C>T | ENSP00000267163.4:p.Gln93Ter | 0.92045454 |
| P11-Organoid | DIAPH3 | 13 | 60737862 | T | A | Missense_Mutation | ENST00000400330.1:c.39A>T | ENSP00000383184.1:p.Gln13His | 0.92237442 |
| P11-Organoid | NDFIP2 | 13 | 80055604 | A | T | Missense_Mutation | ENST00000218652.7:c.266A>T | ENSP00000218652.7:p.Asp89Val | 0.92248062 |
| P11-Organoid | BMP4 | 14 | 54417115 | G | A | Missense_Mutation | ENST00000559087.1:c.862C>T | ENSP00000453485.1:p.Arg288Trp | 0.24812030 |
| P11-Organoid | C15orf26 | 15 | 81436026 | G | C | Missense_Mutation | ENST00000286732.4:c.501G>C | ENSP00000286732.4:p.Arg167Ser | 0.23529411 |
| P11-Organoid | RGMA | 15 | 93588749 | C | T | Missense_Mutation | ENST00000557301.1:c.856G>A | ENSP00000452126.1:p.Gly286Ser | 0.02097902 |
| P11-Organoid | ZNF213 | 16 | 3187465 | G | A | Missense_Mutation | ENST00000576416.1:c.184G>A | ENSP00000459177.1:p.Ala62Thr | 0.48258706 |
| P11-Organoid | ATP6V0D1 | 16 | 67472954 | G | A | Missense_Mutation | ENST00000602876.1:c.505C>T | ENSP00000473515.1:p.Arg169Trp | 0.01141226 |
| P11-Organoid | TP53 | 17 | 7577506 | C | A | Missense_Mutation | ENST00000455263.2:c.775G>T | ENSP00000398846.2:p.Asp259Tyr | 0.84403669 |
| P11-Organoid | MYH13 | 17 | 10258269 | C | T | Missense_Mutation | ENST00000418404.3:c.844G>A | ENSP00000404570.3:p.Glu282Lys | 0.79069767 |
| P11-Organoid | CCR7 | 17 | 38711920 | C | T | Missense_Mutation | ENST00000579344.1:c.193G>A | ENSP00000462631.1:p.Val65Met | 0.06060606 |
| P11-Organoid | SPPL2C | 17 | 43924263 | C | T | Missense_Mutation | ENST00000329196.5:c.1991C>T | ENSP00000332488.5:p.Ala664Val | 0.26633165 |
| P11-Organoid | BPTF | 17 | 65850452 | A | G | Missense_Mutation | ENST00000424123.3:c.593A>G | ENSP00000388405.3:p.Asp198Gly | 0.50980392 |
| P11-Organoid | ENGASE | 17 | 77078018 | A | G | Missense_Mutation | ENST00000579016.1:c.911A>G | ENSP00000462333.1:p.Tyr304Cys | 0.50145772 |
| P11-Organoid | ZNF521 | 18 | 22930900 | C | T | Missense_Mutation | ENST00000538137.2:c.11G>A | ENSP00000440768.2:p.Arg4His | 0.14649681 |
| P11-Organoid | SLC14A2 | 18 | 43262402 | C | T | Missense_Mutation | ENST00000589658.1:c.1112C>T | ENSP00000465349.1:p.Ala371Val | 0.29794520 |
| P11-Organoid | FFAR3 | 19 | 35850261 | G | T | Missense_Mutation | ENST00000594310.1:c.469G>T | ENSP00000469522.1:p.Gly157Trp | 0.01079136 |
| P11-Organoid | FFAR3 | 19 | 35850345 | C | T | Missense_Mutation | ENST00000594310.1:c.553C>T | ENSP00000469522.1:p.Arg185Trp | 0.02608695 |
| P11-Organoid | POLD1 | 19 | 50919960 | G | A | Missense_Mutation | ENST00000599857.1:c.3047G>A | ENSP00000473052.1:p.Arg1016His | 0.08119658 |
| P11-Organoid | LILRA1 | 19 | 55107376 | G | A | Missense_Mutation | ENST00000251372.3:c.934G>A | ENSP00000251372.3:p.Asp312Asn | 0.06325301 |
| P11-Organoid | BCORL1 | X | 129190032 | CTG | C | Frame_Shift_Del | ENST00000540052.1:c.5060_5061del | ENSP00000437775.1:p.Val1687GlyfsTer57 | 0.10661764 |
| P11-Organoid | ZNF449 | X | 134494558 | C | T | Missense_Mutation | ENST00000339249.4:c.1114C>T | ENSP00000339585.4:p.Leu372Phe | 0.35714285 |
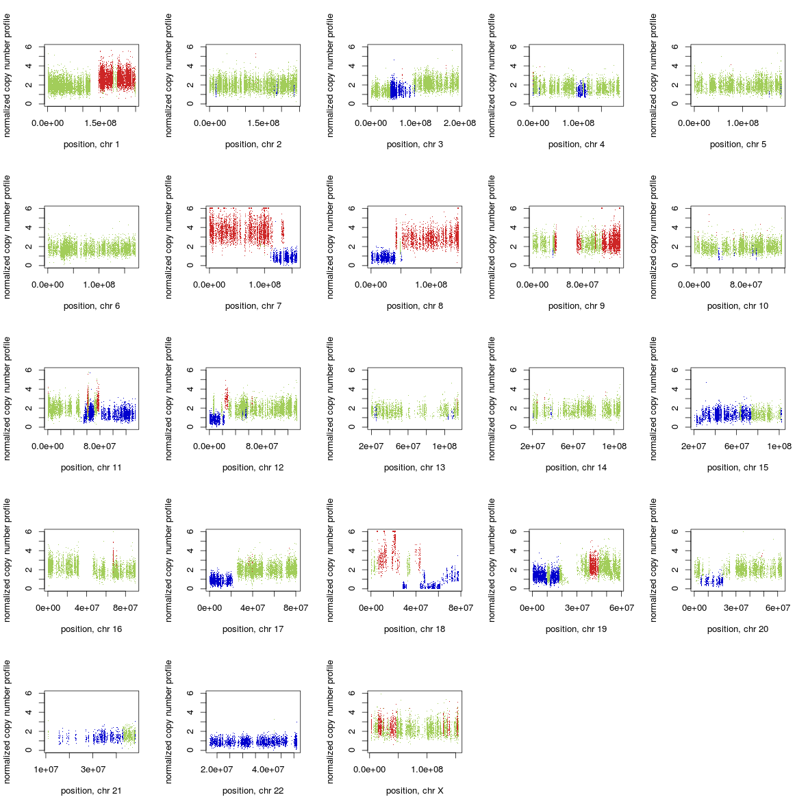
Somatic Copy Number Alterations
Primary Tumor
Organoid
Concordance between Primary tumor and Organoid
VAF-VAF Plot
Number of Shared Mutations between Primary tumor and organoid (All mutations)
Number of Shared Mutations between Primary tumor and organoid (Functional mutations)
Drug Responses
| ID | Drug | IC50 |
| P11 | AZD2014 | 66.09 |
| P11 | AZD3759 | ~ 1.959e+020 |
| P11 | AZD4547 | 20556 |
| P11 | AZD5363 | ~ 1.137e+020 |
| P11 | AZD6738 | 8258 |
| P11 | AZD9291 | 314311 |
| P11 | I.BET.762 | 778.4 |
| P11 | Rapamycin..Sirolimus. | 14224 |
| P11 | AZD1775..MK.1775. | 615.2 |
| P11 | Triptolide..PG490. | ~ 0.002906 |
| P11 | Simvastatin | 67.45 |
| P11 | Temozolomide | ~ 2.138e-014 |
| P11 | Imatinib.Mesylate..STI571. | ~ 14922680799 |
| P11 | Pazopanib..GW786034. | 1432 |
| P11 | Sunitinib.Malate | ~ 4980 |
| P11 | Olaparib..AZD2281..KU0059436. | ~ 4944 |
| P11 | Regorafenib..BAY.73.4506. | 6045 |
| P11 | Erlotinib | ~ 4206 |
| P11 | Gefitinib | ~ 9.703e+020 |
| P11 | Afatinib | ~ 551729261 |
| P11 | OTX.015 | 151.5 |
| P11 | BKM120..NVP.BKM120. | 1182 |
| P11 | BYL719 | 88933 |
| P11 | Cediranib..AZD2171. | 16859 |
| P11 | Ceritinib.LDK378. | 1703 |
| P11 | Crizotinib...PF.02341066. | 2707 |
| P11 | Dabrafenib | ~ 42.99 |
| P11 | Dacomitinib | 21364 |
| P11 | Everolimus..RAD001. | ~ 1481275 |
| P11 | Ibrutinib..PCI.32765. | ~ 5476 |
| P11 | Lapatinib | 3818 |
| P11 | LY2835219 | 4468 |
| P11 | Brivanib..BMS.582664. | ~ 21033 |
| P11 | Panobinostat | 64.91 |
| P11 | Selumetinib..AZD6244. | 575.1 |
| P11 | Sorafenib | ~ 210426 |
| P11 | Trametinib | 67.16 |
| P11 | Vandetanib..ZD6474. | 3045 |
| P11 | Vemurafenib | 5351 |
| P11 | AZD5153 | 61.83 |
| P11 | ABT.199..GDC.0199.. | ~ 4875 |
| P11 | ABT.888..Veliparib..NSC.737664. | ~ 4750 |
| P11 | Avagacestat..BMS.708163. | ~ 1.739e-018 |
| P11 | Axitinib...AG.013736. | 2612 |
| P11 | Bosutinib..SKI.606. | 3406 |
| P11 | Cabozantinib..XL184. | 5681 |
| P11 | Dasatinib..BMS.354825. | 1.005E-43 |
| P11 | decitabine | 6264 |
| P11 | defactinib | ~ 1.131e+020 |
| P11 | Dovitinib..TKI258.CHIR258. | 543.4 |
| P11 | Fluorouracil..5.Fluoracil..5.FU. | 4935 |
| P11 | Foretinib..XL880. | 922.8 |
| P11 | Tivantinib..ARQ.197. | 221.3 |
| P11 | Abraxane | 2.136 |
| P11 | AZD2461.olaparib.analog. | ~ 75054541111961 |
| P11 | Olaparib. | ~ 4186 |
| P11 | Idelalisib | 7783 |
| P11 | Irinotecan | 402.3 |
| P11 | Nilotinib..AMN.107. | 4977 |
| P11 | NVP.AEW541 | 742 |
| P11 | Oxaliplatin | ~ 22932 |
| P11 | PLX3397 | 8599 |
| P11 | Quizartinib..AC220. | 372.1 |
| P11 | Saracatinib..AZD0530. | 1778 |
| P11 | Semagacestat..LY450139. | 3665 |
| P11 | TGX.221 | 14325 |
| P11 | tozasertib | ~ 3272339869801 |
| P11 | Vorinostat..SAHA..MK0683. | 2521 |
| P11 | XAV939 | 1580 |
| P11 | gemcitabine | ~ 0.2483 |
| P11 | palbociclib | ~ 128005008829 |
| P11 | Neratinib..HKI.272. | 765 |