Organoidomics

Please contact Prof. Semin Lee, Jinho Jang or Web-master for any inquires.

3D Organoids

3D Organoids

RAMP

RAMP

Clinical Information

IDDiagnosisStageAgeBMISexCA19-9
P1PDAC47015.7Female4931.76

Mutation Profiles

Primary Tumor

IDGeneCHROMPOSREFALTConsequenceHGVScHGVSpVAF
P1-TissueATAD3B11431060TCMissense_MutationENST00000308647.7:c.1810T>CENSP00000311766.7:p.Tyr604His0.19298245
P1-TissueCSF11110466222ATMissense_MutationENST00000369802.3:c.979A>TENSP00000358817.3:p.Arg327Trp0.04026845
P1-TissueANAPC12112614429GANonsense_MutationENST00000341068.3:c.1393C>TENSP00000339109.3:p.Gln465Ter0.10502283
P1-TissueCOL7A1348629354CTMissense_MutationENST00000454817.1:c.1334G>AENSP00000412569.1:p.Arg445Gln0.02439024
P1-TissueMAEA41332266GAMissense_MutationENST00000514708.1:c.752G>AENSP00000427512.1:p.Arg251His0.01990049
P1-TissueHTRA348307700GAMissense_MutationENST00000307358.2:c.1199G>AENSP00000303766.2:p.Gly400Asp0.01587301
P1-TissueBBS74122749622TGMissense_MutationENST00000506636.1:c.1825A>CENSP00000423626.1:p.Ile609Leu0.00571428
P1-TissueAP3S15115249078CTMissense_MutationENST00000316788.7:c.473C>TENSP00000325369.7:p.Pro158Leu0.34177215
P1-TissueTMEM14B610756712CTMissense_MutationENST00000473276.1:c.127C>TENSP00000420580.1:p.Arg43Cys0.07432432
P1-TissueFIGNL1750514478GANonsense_MutationENST00000433017.1:c.508C>TENSP00000399997.1:p.Arg170Ter0.03813559
P1-TissueSLC35G5811188922TCMissense_MutationENST00000382435.4:c.307T>CENSP00000371872.4:p.Trp103Arg0.09507042
P1-TissueANKRD20A2942368614AGMissense_MutationENST00000377601.2:c.200A>GENSP00000366826.2:p.His67Arg0.46282973
P1-TissueDGKZ1146369238CAMissense_MutationENST00000543978.1:c.29C>AENSP00000438417.1:p.Ala10Asp0.17164179
P1-TissueKRT861252699033GAMissense_MutationENST00000544024.1:c.745G>AENSP00000443169.1:p.Val249Ile0.15346534
P1-TissueRP11-644F5.101256112889ACATGAACAFrame_Shift_DelENST00000550412.1:c.236_242delENSP00000447650.1:p.Met79ArgfsTer80.01477832
P1-TissueAGAP21258130876AGMissense_MutationENST00000547588.1:c.1154T>CENSP00000449241.1:p.Leu385Pro0.02453987
P1-TissueC16orf581631519193CAAACGCCTGGAGAAGACSplice_SiteENST00000570164.1:c.301-10_306del0.01612903
P1-TissueRPS15191440068GCMissense_MutationENST00000593052.1:c.161G>CENSP00000466010.1:p.Arg54Pro0.07782101
P1-TissueABHD17A191881526AGAFrame_Shift_DelENST00000590661.1:c.39delENSP00000467638.1:p.Cys14AlafsTer430.00289017
P1-TissueABHD17A191881528AAGAFrame_Shift_DelENST00000590661.1:c.36_37delENSP00000467638.1:p.Phe13LeufsTer270.13569321
P1-TissueCYP2A131941595958CTMissense_MutationENST00000330436.3:c.350C>TENSP00000332679.1:p.Ala117Val0.06424581
P1-TissueSIGLEC101951920196GTMissense_MutationENST00000525998.1:c.430C>AENSP00000431444.1:p.Gln144Lys0.11705685

Organoid

IDGeneCHROMPOSREFALTConsequenceHGVScHGVSpVAF
P1-OrganoidATAD3B11431060TCMissense_MutationENST00000308647.7:c.1810T>CENSP00000311766.7:p.Tyr604His0.25
P1-OrganoidATAD3B11431165CTMissense_MutationENST00000308647.7:c.1915C>TENSP00000311766.7:p.Pro639Ser0.43035714
P1-OrganoidPRAMEF1112855774AGMissense_MutationENST00000400814.3:c.319A>GENSP00000383616.3:p.Lys352Glu0.10849056
P1-OrganoidCLCNKA116354394CTMissense_MutationENST00000439316.2:c.731C>TENSP00000414445.2:p.Ala287Val0.46101694
P1-OrganoidADC133563691AGMissense_MutationENST00000398167.1:c.1000A>GENSP00000381233.1:NA0.39606741
P1-OrganoidHIVEP3142049181CTMissense_MutationENST00000429157.2:c.1288G>AENSP00000410828.2:NA0.24
P1-OrganoidLCE1D1152770503GAMissense_MutationENST00000326233.6:c.233G>AENSP00000316737.6:p.Arg78His0.09282700
P1-OrganoidLCE1D1152770521GAMissense_MutationENST00000326233.6:c.251G>AENSP00000316737.6:p.Arg84His0.17073170
P1-OrganoidAQP101154294464AGMissense_MutationENST00000484864.1:c.161A>GENSP00000420341.1:p.Asn54Ser0.19305019
P1-OrganoidDAP31155699069CAMissense_MutationENST00000535183.1:c.632C>AENSP00000445003.1:p.Ser211Tyr0.28767123
P1-OrganoidBLZF11169347575GAMissense_MutationENST00000367808.3:c.476G>AENSP00000356782.3:p.Arg159His0.53763440
P1-OrganoidBRE228460164AGMissense_MutationENST00000379632.2:c.776A>GENSP00000368953.2:p.Asn259Ser1
P1-OrganoidVWA3B298779374CTMissense_MutationENST00000477737.1:c.1049C>TENSP00000417955.1:p.Thr350Met0.43925233
P1-OrganoidANAPC12112614429GANonsense_MutationENST00000341068.3:c.1393C>TENSP00000339109.3:p.Gln465Ter0.25130890
P1-OrganoidTUBA3E2130951894GTMissense_MutationENST00000312988.7:c.521C>AENSP00000318197.7:p.Ala174Asp0.21052631
P1-OrganoidLRP1B2141079606GAMissense_MutationENST00000389484.3:c.12566C>TENSP00000374135.3:p.Pro4189Leu0.17263843
P1-OrganoidBAZ2B2160205653AGMissense_MutationENST00000392783.2:c.5002T>CENSP00000376534.2:p.Phe1668Leu0.456
P1-OrganoidVILL338043268GAMissense_MutationENST00000465644.1:c.550G>AENSP00000422096.1:p.Val184Ile0.03333333
P1-OrganoidCOL7A1348629354CTMissense_MutationENST00000454817.1:c.1334G>AENSP00000412569.1:p.Arg445Gln0.64102564
P1-OrganoidMST1349722905TTGGFrame_Shift_InsENST00000449682.2:c.1420_1421dupENSP00000414287.2:p.Asp475GlnfsTer520.09240924
P1-OrganoidSLC33A13155571270TTCTFrame_Shift_DelENST00000392845.3:c.515_516delENSP00000376587.2:p.Arg172AsnfsTer150.58139534
P1-OrganoidMYOZ24120107249GTMissense_MutationENST00000307128.5:c.689G>TENSP00000306997.5:p.Arg230Leu0.03157894
P1-OrganoidWDR174177067184GAMissense_MutationENST00000508596.1:c.1568G>AENSP00000422763.1:p.Arg523His0.39316239
P1-OrganoidARSB578135181GAMissense_MutationENST00000565165.1:c.1211C>TENSP00000456339.1:p.Pro404Leu0.24679487
P1-OrganoidAP3S15115249078CTMissense_MutationENST00000316788.7:c.473C>TENSP00000325369.7:p.Pro158Leu0.35793357
P1-OrganoidTMEM14B610756712CTMissense_MutationENST00000473276.1:c.127C>TENSP00000420580.1:p.Arg43Cys0.05821917
P1-OrganoidTNXB632035705CTMissense_MutationENST00000375247.2:c.6277G>AENSP00000364396.2:p.Ala2093Thr0.41689373
P1-OrganoidBRD2632943223CAATCIn_Frame_DelENST00000449085.2:c.256_258delENSP00000409145.2:p.Asn86del0.66666666
P1-OrganoidGNA1272802374CTMissense_MutationENST00000407653.1:c.149G>AENSP00000386054.1:p.Arg50Gln0.29927007
P1-OrganoidRADIL74917673CTMissense_MutationENST00000536091.1:c.98G>AENSP00000442533.1:p.Ser33Asn0.24489795
P1-OrganoidUSP4276194003GTNonsense_MutationENST00000306177.5:c.2818G>TENSP00000301962.5:p.Glu940Ter0.04255319
P1-OrganoidTNS3747317793GANonsense_MutationENST00000398879.1:c.4219C>TENSP00000381854.1:p.Gln1407Ter0.27559055
P1-OrganoidFIGNL1750514478GANonsense_MutationENST00000433017.1:c.508C>TENSP00000399997.1:p.Arg170Ter0.29333333
P1-OrganoidSLC12A97100463991GAMissense_MutationENST00000354161.3:c.2509G>AENSP00000275730.4:p.Ala837Thr0.45161290
P1-OrganoidSLC35G5811188922TCMissense_MutationENST00000382435.4:c.307T>CENSP00000371872.4:p.Trp103Arg0.08637873
P1-OrganoidGRHL28102589721CGGCGAAGCAGACFrame_Shift_DelENST00000395927.1:c.932_942delENSP00000379260.1:p.Ala311GlyfsTer30.63636363
P1-OrganoidGLIS394118415GAMissense_MutationENST00000381971.3:c.1063C>TENSP00000371398.3:p.Arg355Cys0.30769230
P1-OrganoidANKRD20A2942368614AGMissense_MutationENST00000377601.2:c.200A>GENSP00000366826.2:p.His67Arg0.47982062
P1-OrganoidPTCH1998270531CGMissense_MutationENST00000331920.6:c.113G>CENSP00000332353.6:p.Gly38Ala0.45098039
P1-OrganoidTRIM329119461721ACTTAIn_Frame_DelENST00000450136.1:c.1706_1708delENSP00000408292.1:p.Phe569del0.58646616
P1-OrganoidRALGPS19129812376GCMissense_MutationENST00000424082.2:c.355G>CENSP00000415630.2:p.Ala119Pro0.13714285
P1-OrganoidLOXL410100015394CTMissense_MutationENST00000260702.3:c.1531G>AENSP00000260702.3:p.Gly511Arg0.34408602
P1-OrganoidTMEM1381161131879AGMissense_MutationENST00000542946.1:c.17A>GENSP00000445792.1:p.Asn6Ser0.01734104
P1-OrganoidKRAS1225398284CTMissense_MutationENST00000557334.1:c.35G>AENSP00000452512.1:p.Gly12Asp0.44
P1-OrganoidDDX111231237978CTMissense_MutationENST00000545668.1:c.556C>TENSP00000440402.1:p.Arg186Trp0.17760617
P1-OrganoidDDX111231250875GCMissense_MutationENST00000545668.1:c.1819G>CENSP00000440402.1:p.Ala607Pro0.18119266
P1-OrganoidPABPC31325671585TACCMissense_MutationENST00000281589.3:c.1249_1250delinsCCENSP00000281589.3:p.Tyr417Pro0.04467354
P1-OrganoidPCCA13101020827CTMissense_MutationENST00000376286.4:c.1667C>TENSP00000365463.4:p.Ser556Leu0.43697479
P1-OrganoidNOP91424769311CTMissense_MutationENST00000396802.3:c.151C>TENSP00000380020.3:p.Pro51Ser0.67407407
P1-OrganoidGZMH1425076877GCMissense_MutationENST00000382548.4:c.280C>GENSP00000371988.4:p.Pro94Ala0.13839285
P1-OrganoidRP11-176H8.11431926584GAMissense_MutationENST00000547378.1:c.16C>TENSP00000447056.1:p.Arg6Trp0.35
P1-OrganoidYLPM11475248907GAMissense_MutationENST00000552421.1:c.2161G>AENSP00000447921.1:p.Gly721Arg0.73275862
P1-OrganoidDYNC1H114102445804AATFrame_Shift_InsENST00000360184.4:c.495dupENSP00000348965.4:p.Arg166Ter0.39442231
P1-OrganoidTECPR214102918775GAMissense_MutationENST00000558678.1:c.3451G>AENSP00000453671.1:p.Val1151Ile0.27325581
P1-OrganoidWDR2416739642GAMissense_MutationENST00000248142.6:c.185C>TENSP00000248142.6:p.Ala62Val0.55555555
P1-OrganoidHAGHL16778956GTMissense_MutationENST00000341413.4:c.661G>TENSP00000341952.4:p.Gly221Trp0.0625
P1-OrganoidHAGHL16778962GTMissense_MutationENST00000341413.4:c.667G>TENSP00000341952.4:p.Ala223Ser0.06666666
P1-OrganoidC16orf581631519193CAAACGCCTGGAGAAGACSplice_SiteENST00000570164.1:c.301-10_306del0.23622047
P1-OrganoidIRX51654967174GAMissense_MutationENST00000558597.1:c.643G>AENSP00000453725.1:p.Ala215Thr0.40384615
P1-OrganoidMARVELD31671668212TCMissense_MutationENST00000567501.1:c.152T>CENSP00000455814.1:p.Leu51Pro0.47142857
P1-OrganoidTP53177578406CTMissense_MutationENST00000455263.2:c.524G>AENSP00000398846.2:p.Arg175His1
P1-OrganoidNCOR11715952173CAMissense_MutationENST00000395857.3:c.2274G>TENSP00000379198.3:p.Glu758Asp0.02684563
P1-OrganoidTBC1D291728890301GAMissense_MutationENST00000580161.1:c.311G>AENSP00000462799.1:p.Ser104Asn0.09022556
P1-OrganoidCCL4L21734641494ACMissense_MutationENST00000394465.2:c.236A>CENSP00000377978.2:p.Glu79Ala0.05882352
P1-OrganoidEVPL1774005146CAMissense_MutationENST00000586740.1:c.4206G>TENSP00000465630.1:p.Lys1402Asn0.01724137
P1-OrganoidSMAD41848573649TGTFrame_Shift_DelENST00000588745.1:c.235delENSP00000464901.1:p.Asp79MetfsTer150.88888888
P1-OrganoidRPS15191440068GCMissense_MutationENST00000593052.1:c.161G>CENSP00000466010.1:p.Arg54Pro0.14814814
P1-OrganoidZNF4411911891163CTMissense_MutationENST00000454339.2:c.323C>TENSP00000403738.2:p.Ala108Val0.04705882
P1-OrganoidCCDC1051915121794GAMissense_MutationENST00000292574.3:c.157G>AENSP00000292574.2:p.Val53Met0.68421052
P1-OrganoidPDCD2L1934900211GAMissense_MutationENST00000246535.3:c.482G>AENSP00000246535.1:p.Arg161Gln0.13175675
P1-OrganoidPRX1940901570GANonsense_MutationENST00000324001.7:c.2689C>TENSP00000326018.6:p.Arg897Ter0.11519607
P1-OrganoidNLRP121954312910GAMissense_MutationENST00000535162.1:c.2003C>TENSP00000438030.1:p.Ala668Val0.63928571
P1-OrganoidZNF5801956154275ACMissense_MutationENST00000545125.1:c.401A>CENSP00000446126.1:p.His134Pro0.72777777
P1-OrganoidSYNDIG12024524031CTMissense_MutationENST00000376862.3:c.298C>TENSP00000366058.3:p.Arg100Cys0.09803921
P1-OrganoidTTLL92030530746AGSplice_SiteENST00000535842.1:c.1244-2A>G0.51785714
P1-OrganoidPPDPF2062152689CTMissense_MutationENST00000370179.3:c.28C>TENSP00000359198.3:p.Leu10Phe0.46909090
P1-OrganoidCBR32137518742CAMissense_MutationENST00000290354.5:c.766C>AENSP00000290354.5:p.Leu256Ile0.01875
P1-OrganoidRIPK42143176822AATFrame_Shift_InsENST00000544709.1:c.147dupENSP00000441754.1:p.Leu50IlefsTer490.875
P1-OrganoidMXRA5X3236044CGMissense_MutationENST00000217939.6:c.5678G>CENSP00000217939.5:p.Gly1893Ala0.68316831
P1-OrganoidCLCN4X10176601GAMissense_MutationENST00000421085.2:c.1078G>AENSP00000405754.2:p.Val360Ile0.64359861
P1-OrganoidATP6AP2X40464996CTNonsense_MutationENST00000544975.1:c.814C>TENSP00000440459.1:p.Arg272Ter0.06072874
P1-OrganoidMED14X40542109CCATTAAGTGFrame_Shift_InsENST00000324817.1:c.2189_2196dupENSP00000323720.1:p.Gly733HisfsTer180.43730886
P1-OrganoidDLG3X69665197CTMissense_MutationENST00000374360.3:c.146C>TENSP00000363480.3:p.Ala49Val0.325
P1-OrganoidLONRF3X118124436CTMissense_MutationENST00000422289.2:c.560C>TENSP00000408894.2:p.Pro187Leu0.33079847

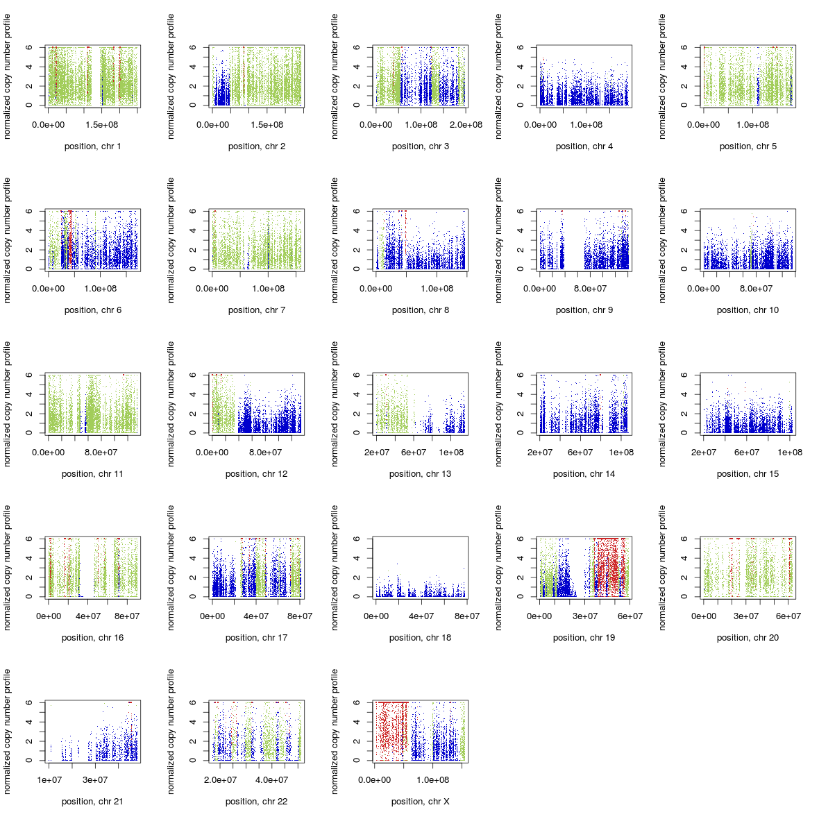
Somatic Copy Number Alterations

Primary Tumor


Organoid


Concordance between Primary tumor and Organoid

VAF-VAF Plot


Number of Shared Mutations between Primary tumor and organoid (All mutations)


Number of Shared Mutations between Primary tumor and organoid (Functional mutations)


Drug Responses

IDDrugIC50
P1AZD201410651
P1AZD3759443.7
P1AZD4547~ 5330
P1AZD53634642
P1AZD67383285
P1AZD9291~ 1.961e+016
P1I.BET.762845.1
P1Rapamycin..Sirolimus.30213
P1AZD1775..MK.1775.1448
P1Triptolide..PG490.~ 0.009898
P1Simvastatin746.2
P1Temozolomide~ 745060817
P1Imatinib.Mesylate..STI571.14091
P1Pazopanib..GW786034.4855
P1Sunitinib.Malate~ 731123507461
P1Olaparib..AZD2281..KU0059436.~ 4342079171
P1Regorafenib..BAY.73.4506.4898
P1Erlotinib487.3
P1Gefitinib~ 2.053e-047
P1Afatinib~ 1.289e+040
P1OTX.01597.13
P1BKM120..NVP.BKM120.1696
P1BYL71914307
P1Cediranib..AZD2171.7219
P1Ceritinib.LDK378.1323
P1Crizotinib...PF.02341066.3835
P1Dabrafenib~ 355.2
P1Dacomitinib~ 2.454e+019
P1Everolimus..RAD001.~ 16743
P1Ibrutinib..PCI.32765.270230
P1Lapatinib4320
P1LY2835219670.7
P1Brivanib..BMS.582664.~ 19250
P1Panobinostat41.97
P1Selumetinib..AZD6244.3010
P1Sorafenib~ 7732477860
P1Trametinib93.25
P1Vandetanib..ZD6474.1020
P1Vemurafenib~ 1934
P1AZD515359.14
P1ABT.199..GDC.0199..~ 54425868
P1ABT.888..Veliparib..NSC.737664.~ 5589
P1Avagacestat..BMS.708163.66128
P1Axitinib...AG.013736.1073
P1Bosutinib..SKI.606.1210
P1Cabozantinib..XL184.8902
P1Dasatinib..BMS.354825.~ 2.524e-010
P1decitabine~ 4.348e+021
P1defactinib4831
P1Dovitinib..TKI258.CHIR258.2456
P1Fluorouracil..5.Fluoracil..5.FU.5520
P1Foretinib..XL880.695.6
P1Tivantinib..ARQ.197.193.4
P1Abraxane7.098
P1AZD2461.olaparib.analog.~ 5.990e-013
P1Olaparib.~ 5135
P1Idelalisib15024
P1Irinotecan1105
P1Nilotinib..AMN.107.~ 1194
P1NVP.AEW5416663
P1Oxaliplatin~ 17473
P1PLX339717140
P1Quizartinib..AC220.~ 355.5
P1Saracatinib..AZD0530.1071
P1Semagacestat..LY450139.~ 8.036e-005
P1TGX.221~ 7333
P1tozasertib~ 71.49
P1Vorinostat..SAHA..MK0683.2474
P1XAV9394296
P1gemcitabine874.2
P1palbociclib~ 1.947e+018
P1Neratinib..HKI.272.534.5